R.C. van de Vijsel1*, S.I. de Lange1, P.J.J.F. Torfs2, A.J.F. Hoitink
1 Hydrology and Environmental Hydraulics Group, Wageningen University, The Netherlands; 2 Independent researcher
* Corresponding author: roeland.vandevijsel@wur.nl
Introduction
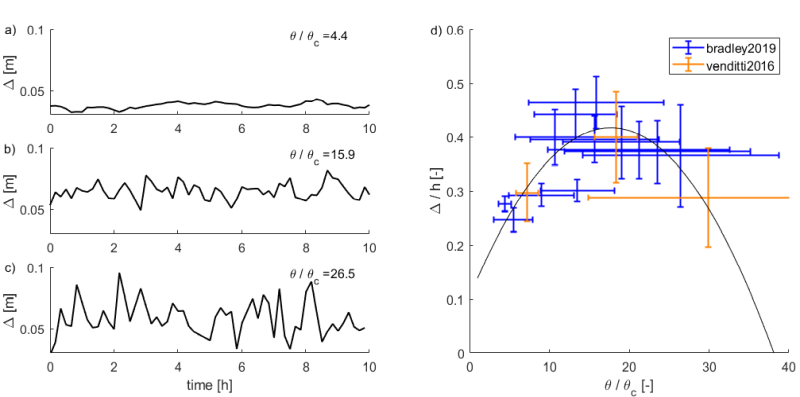
Estuarine bedforms affect bed roughness and, with that, hydrodynamics and sediment transport. With increasing flow velocity, subaqueous bedforms grow from flat beds to ripples to dunes, before diminishing again to an upper stage plane bed. Previous studies report an increase in the standard deviation of bedform height with increasing transport stage (a measure of flow strength), and rapid switches in time between contrasting bed configurations (Figure 1).
Objective and Methods
Not much attention has been given to this phenomenon despite its importance in, for example, flood prediction. Our study (de Lange et al. 2023) reanalyzes experimental data from two earlier experimental studies (Venditti et al. 2016, Bradley & Venditti 2019).
Results
We show that there are statistically strong indications that the increase in standard deviation is due to the emergence of bimodal distributions in bedform height for transport stages larger than 18. This is consistent with our understanding of the physics, as time series of observed dune heights exhibit flickering between low and high dunes, suggesting critical transitions between two alternative morphological states.
We hypothesize that local sediment outbursts drive temporary shifts from suspended- to bed load conditions, causing dunes to form transiently before returning to an upper stage plane bed. Flickering behavior of dunes at high transport stages implies that one single snapshot is not enough to capture the state of a system, with far-reaching implications for field measurements and experimental designs. The possibility of alternative dune states also calls for a reconsideration of classical equilibrium relations. This study implies a presence of tipping points in geomorphology and calls for further research to understand and quantify flickering behavior in estuarine sediment beds at high transport stages.

Figure 1. a-c) Dune height Δ over time for three experiments of Bradley & Venditti (2019), for three different transport stages θ/θc (i.e., bed shear stress divided by critical shear stress). d) Variability in non-dimensional dune height Δ/h increases with transport stage. Here, h is time-averaged water depth. The dune height predictor of Venditti & Bradley (2022) is shown as a black parabola. Colored error bars indicate standard deviation for the experiments of Venditti et al. (2016) (orange) and Bradley & Venditti (2019) (blue).
References
Bradley, R.W., & Venditti, J.G. (2019). Transport scaling of dune dimensions in shallow flows. Journal of Geophysical Research: Earth Surface, 124(2), 526-547.
de Lange, S.I., van de Vijsel, R.C., Torfs, P.J.J.F., & Hoitink, A.J.F. (2023). Alternative stable river bed states at high flow. Authorea Preprints.
Venditti, J.G., & Bradley, R.W. (2022). Bedforms in sand bed rivers.
Venditti, J.G., Lin, C.Y.M., & Kazemi, M. (2016). Variability in bedform morphology and kinematics with transport stage. Sedimentology, 63(4), 1017-1040.










